Skip to content Skip to sidebar Skip to footer

How To Find The Volume Of A Frustum : What is the formula fo volume of a cylindrical tube?

How To Find The Volume Of A Frustum : What is the formula fo volume of a cylindrical tube?. You can derive this formula from the formulas for the surface area and volume of a cone: Substitute that in, to get since all our r are just constants, that comes out to just which happens to be the same as the formula above. Alternatively, subtract the volume (or surface area) of the tip from that of the original pyramid. See full list on calculushowto.com The egyptians, of course, used different variables.

See full list on calculushowto.com Simply subtract the volume (or lateral surface area) of the truncated tip from the volume (or lateral surface area) of the whole. R1is the radius of the base, 2. A and b are the top and base side lengths. The formula for the radius, r(z), can be written as:

Find The Volume Of The Frustum Of A Pyramid With Chegg Com
Find The Volume Of The Frustum Of A Pyramid With Chegg Com from media.cheggcdn.com
Hence, this part of the cone has its surface area and volume. The egyptians, of course, used different variables. For the height we can derive it from the slant height. Volume of frustum of cone = πh/3 (r12+r22+r1r2) What is a scientific formula for volume? This video explains how to find the volume of a frustum. H is the height of your truncated solid. Imagine dividing your frustum up into infinitely small slices (dz) over the height z.

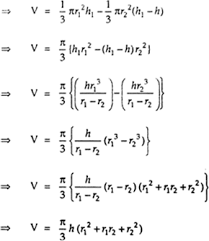
The volume of the frustum is given by:

Substitute that in, to get since all our r are just constants, that comes out to just which happens to be the same as the formula above. A conical frustum is what you get when you cut the top off a cone, holding your knife parallel to the base. Then the lateral surface area (the entire surface area minus the top and bottom circles) of the solid can be calculated by: The outputs are the lateral surface area, the total surface area (including the base and bottom), the volume of the frustum and parameters x, y and angle t for the construction of a frustrum given r, r and h. Enter radius r (radius at top), radius r (radius at bottom) with r < r and height h of the frustum as positive real numbers and press calculate. In your case, a = π*92= 81π and b = π*122= 144π. You can derive this formula from the formulas for the surface area and volume of a cone: Hence, this part of the cone has its surface area and volume. It goes through some typical gcse questions. Systematic studies with engineering applications for beginners. Need help with a homework or test question? What is the formula for volume of a right cylinder? What is the formula for specific volume?

Then we can write the volume as the integral: Systematic studies with engineering applications for beginners. Volume of frustum (the same formula applies to both the frustum of a pyramid and the frustum of a cone) v = (h / 3) * a 1 + a 2 + √ (a 1 * a 2 ) v = v frustum = volume of frustum in meters 3. How to use the calculator. For the height we can derive it from the slant height.

Find The Volume Of The Frustum Of A Pyramid With Chegg Com
Find The Volume Of The Frustum Of A Pyramid With Chegg Com from media.cheggcdn.com
R2is the radius of the (new) top. The formula for the radius, r(z), can be written as: Calculate the volume of the earth to be removed. Volume of frustum can be calculated by this formula when there is a relationship between the dimensions of bases , that if divide every length of one base side on the other trans it we will gate same value , which mean that the inclined side of frustum must meet each other in one point ( pyramid head ) , so the question is : The lateral surface area of the pyramidal frustum is just h(a + b)/2 as was the case with conical solids, these formulas can be derived from the standard formulas for the volume or surface area of a pyramid through calculus. Need help with a homework or test question? A and b are the top and base side lengths. H = height of frustum in meters.

A 1 = area of upper base in meters 2.

What is the formula fo volume of a cylindrical tube? To find the frustum of a cone first we should un. If your truncated cone is based off a right circular cone, it is relatively easy to calculate volume and surface area. Enter radius r (radius at top), radius r (radius at bottom) with r < r and height h of the frustum as positive real numbers and press calculate. What is the formula for specific volume? May 11, 2013 · the formula for the volume of a conic or pyramidal frustrum with bases a, b, and height h is v = (a + b + √(ab))h/3. A 1 = area of upper base in meters 2. It goes through some typical gcse questions. Then we can write the volume as the integral: H is the height of the truncated shape, 2. Simply subtract the volume (or lateral surface area) of the truncated tip from the volume (or lateral surface area) of the whole. H = height of frustum in meters. Systematic studies with engineering applications for beginners.

May 11, 2013 · the formula for the volume of a conic or pyramidal frustrum with bases a, b, and height h is v = (a + b + √(ab))h/3. To find the frustum of a cone first we should un. See full list on calculushowto.com Alternatively, subtract the volume (or surface area) of the tip from that of the original pyramid. The egyptians, of course, used different variables.

How To Derive The Formula To Obtain The Volume Of The Frustum Of A Cone Nursing Student Tips Cone Nerd Jokes
How To Derive The Formula To Obtain The Volume Of The Frustum Of A Cone Nursing Student Tips Cone Nerd Jokes from i.pinimg.com
The volume of the frustum is given by: Then we can write the volume as the integral: H is the height of your truncated solid. The lateral surface area of the pyramidal frustum is just h(a + b)/2 as was the case with conical solids, these formulas can be derived from the standard formulas for the volume or surface area of a pyramid through calculus. Volume of frustum (the same formula applies to both the frustum of a pyramid and the frustum of a cone) v = (h / 3) * a 1 + a 2 + √ (a 1 * a 2 ) v = v frustum = volume of frustum in meters 3. See full list on calculushowto.com What is the formula fo volume of a cylindrical tube? How to use the calculator.

The egyptians, of course, used different variables.

How to use the calculator. R1is the radius of the base, 2. If your truncated cone is based off a right circular cone, it is relatively easy to calculate volume and surface area. Volume of frustum can be calculated by this formula when there is a relationship between the dimensions of bases , that if divide every length of one base side on the other trans it we will gate same value , which mean that the inclined side of frustum must meet each other in one point ( pyramid head ) , so the question is : A conical frustum is what you get when you cut the top off a cone, holding your knife parallel to the base. To find the frustum of a cone first we should un. Systematic studies with engineering applications for beginners. What is the formula for volume of a right cylinder? Imagine dividing your frustum up into infinitely small slices (dz) over the height z. Then we can write the volume as the integral: In your case, a = π*92= 81π and b = π*122= 144π. In fact, they were discussed in ancient egyptian papyrus around 1850 bc and the formula was given as here: The formula for the radius, r(z), can be written as: